右手拉枪舞花背枪,震右脚,上左腿成左弓步,左手立掌由 胸前推出。目视前方(图6 - 141、图6 - 142、图6 - 143)。
图 6-141 图 6-142图 6-141 图 6-142



图 6-141 图 6-142
图 6-141 图 6-142
46 .收势
①右手反持枪柄向前撩摆一周,枪身立直戳于右脚右侧,左 手配合由虎口滑握枪身,收左脚成立正姿势(图6 - 144、图6 - 145) o
中国武术系列规定套路


②左手向 身体左侧平推 出。目视左手 (图 6-146)。
③左手落 下收势。目视前 方(图6- 147 )o
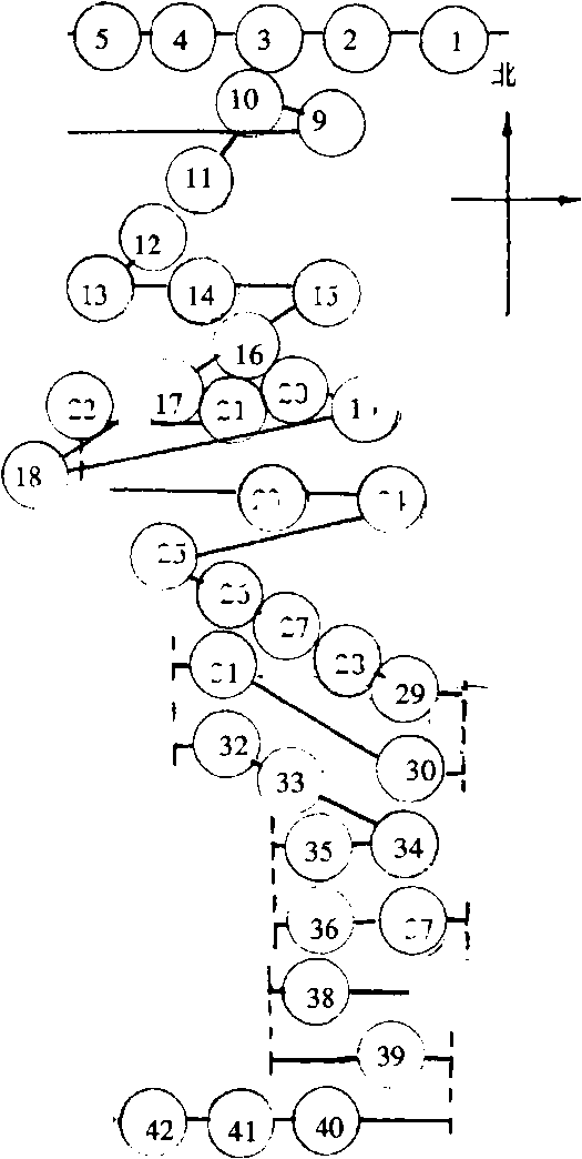
枪术竞赛规定套路路线图
37
24一
28
5
11
2
20
23、
26
1
2
1
3
5
2
3
11
2
2
7




浏览323次